Pada kesempatan kali ini, kita akan mempelajari pencabangan pada pemrograman.
Apa itu pencabangan? Mengapa kita perlu mempelajarinya? Bagaimana penerapannya pada bahasa pemrograman? Kita akan menjawab pertanyaan-pertanyaan tersebut di sini.
Suatu program yang hanya berisi runtunan instruksi biasanya memiliki persoalan yang sederhana. Bagaimana jika persoalan lebih kompleks? Persoalan yang lebih kompleks biasanya melibatkan analisis berbagai kemungkinan kasus yang ada di dalamnya. Setiap kasus memiliki persyaratan yang harus dipenuhi. Kemudian, menetukan aksi apa yang harus dilakukan jika persyaratan terpenuhi. Adanya analisis kasus, maka instruksi tidak lagi dikerjakan secara sekuensial, namun dikerjakan berdasarkan syarat yang terpenuhi.
Analisis Kasus #
Suatu permasalahan perlu dianalisis agar dapat menentukan kemungkinan kasus yang ada. Menganalisis masalah berarti:
- mengidentifikasi kemungkinan kasus yang ada pada suatu masalah,
- kondisi yang perlu dipenuhi, dan
- aksi yang dilakukan jika kondisi tidak terpenuhi.
Adanya analisis kasus menyebabkan terjadinya pemilihan (pencabangan) instruksi di dalam algoritma, bergantung pada kasus mana yang dipenuhi.
Sebagai contoh, kita ingin menentukan status kesehatan seseorang. Salah satu cara mengidentifikasi status kesehatan seseorang adalah dengan suhu tubuh. Namun, rentang nilai suhu normal tidak serta merta sama pada seluruh kategori umur. Oleh karena itu, ada beberapa kasus untuk dapat menentukan status kesehatan berdasarkan suhu tubuh.
Berdasarkan hasil penelitian, ukuran rata-rata suhu tubuh normal manusia berdasarkan usianya:
- Suhu normal pada bayi, yaitu 36,3–37,7 derajat Celsius.
- Suhu normal pada anak, yaitu 36,1–37,7 derajat Celsius.
- Suhu normal pada orang dewasa, yaitu 36,5–37,5 derajat Celsius.
Jika kita melihat contoh di atas, maka ada pemilihan bertingkat.
Pertama, pemilihan kategori usia. Misal:
- Jika umur > 0 tahun dan umur ≤ 5 tahun, maka termasuk kategori bayi
- Jika umur > 5 tahun dan umur ≤ 25 tahun, maka termasuk kategori anak (hingga remaja akhir)
- Jika umur > 25 tahun dan umur ≤ 45 tahun, maka termasuk kategori dewasa
Kedua, pemilihan suhu normal. Misal pada kategori orang dewasa:
- Kasus 1: jika suhu ≥ 36,5 dan suhu ≤ 37,5, maka normal
- Kasus 2: jika suhu < 35, maka hipotermia
- Kasus 3: jika suhu > 41,1, maka hiperpireksia
- Kasus 4: selain Kasus 1, 2, dan 3, maka tidak normal
Selanjutnya, untuk mempermudah pembelajaran, kita hanya membahas pada kategori usia orang dewasa.
Mari kita mulai dengan memperhatikan Kasus 1. Pada kasus ini ada pernyataan:
jika suhu ≥ 36,5 dan suhu ≤ 37,5, maka normal
Kondisi atau syarat yang harus dipenuhi agar tubuh disebut normal adalah
36,5 ≤ suhu tubuh ≤ 37,5
Kondisi adalah suatu ekspresi boolean yang bernilai benar (true) dan salah (false). Kemudian, menentukan aksi yang dilakukan jika kondisi tersebut berlaku (memenuhi).
Dalam menganalisis kasus, semua kasus harus dijabarkan dengan lengkap. Bergantung pada persoalannya, ada persoalan yang terdiri dari satu kasus, dua kasus, tiga kasus atau lebih. Kita akan membahas satu per satu.
Satu Kasus #
Notasi algoritma untuk analisis dengan satu kasus adalah dengan menggunakan konstruksi IF-THEN (jika-maka) berbentuk sebagai berikut.
IF kondisi THEN
aksi
END IFInstruksi di atas berarti bahwa aksi hanya dilaksanakan bila kondisi benar. Bila kondisi salah, maka tidak ada aksi apapun yang dikerjakan. Kata END IF ditambahakan untuk mempertegas awal dan akhir struktur IF-THEN. Aksi yang dikerjakan bisa satu, dua, atau lebih.
Berikut adalah bagan alir yang memperlihatkan pemilihan dengan hanya satu kasus.

Dua Kasus #
Konstruksi IF-THEN hanya menyediakan satu alternatif aksi jika suatu persyaratan dipenuhi. Terkadang kita perlu memilih melakukan aksi alternatif jika kondisi tidak memenuhi. Jadi, ada dua kasus di sini, tetapi hanya salah satu dari keduanya yang harus dipilih untuk dikerjakan. Notasi algoritma untuk masalah dengan dua buah kasus adalah dengan menggunakan konstruksi IF-THEN-ELSE (jika-maka-kalau tidak):
IF kondisi THEN
aksi_1
ELSE
aksi_2
END IFPernyataan di atas berarti bahwa aksi_1 dikerjakan jika kondisi benar. Sebaliknya, jika kondisi salah, maka aksi_2 yang akan dikerjakan. Perhatikan bahwa else menyatakan ingkaran (negation) dari kondisi.
Berikut adalah bagan alir yang memperlihatkan pemilihan dengan dua kasus.

Tiga Kasus atau Lebih #
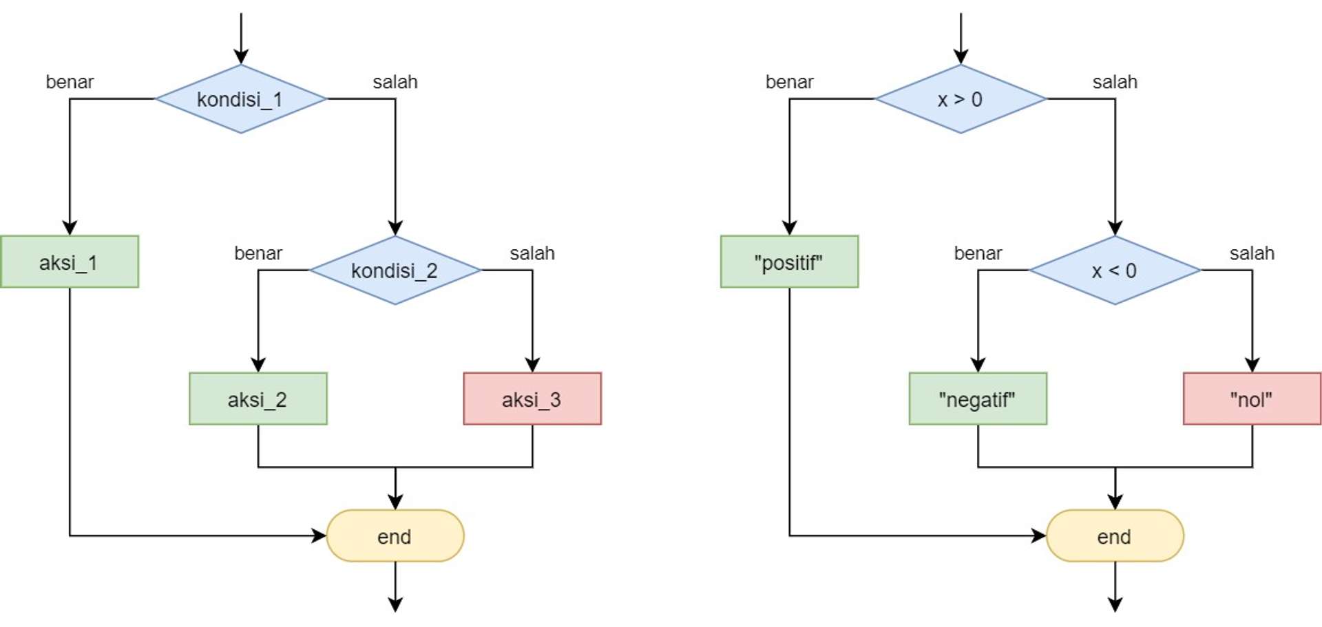
Masalah yang mempunyai tiga buah kasus atau lebih dapat dianalisis dengan konstruksi IF-THEN-ELSE bertingkat.
Tiga Kasus #
IF kondisi_1 THEN
aksi_1
ELSE
IF kondisi_2 THEN
aksi_2
ELSE
aksi_3
END IF
END IFBerikut adalah bagan alir yang memperlihatkan pemilihan dengan tiga kasus.

Empat Kasus #
IF kondisi_1 THEN
aksi_1
ELSE
IF kondisi_2 THEN
aksi_2
ELSE
IF kondisi_3 THEN
aksi_3
ELSE
IF kondisi_4 THEN
aksi_4
END IF
END IF
END IF
END IFBerikut adalah bagan alir yang memperlihatkan pemilihan dengan empat kasus.

Catatan #
Penjelasan materi ini juga tersedia dalam bentuk slide presentasi.
Since you've made it this far, sharing this article on your favorite social media network would be highly appreciated 💖! For feedback, please ping me on Twitter.
Published